-
[LeetCode] 206. Reverse Linked List / Swift개발/코딩테스트 2021. 6. 25. 23:50
[문제 보기]
더보기Given the head of a singly linked list, reverse the list, and return the reversed list.
Example 1:

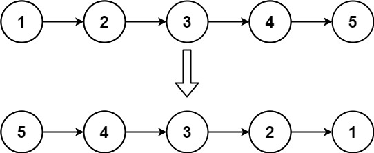
Input: head = [1,2,3,4,5] Output: [5,4,3,2,1]
Example 2:

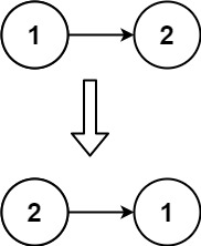
Input: head = [1,2] Output: [2,1]
Example 3:
Input: head = [] Output: []
Constraints:
- The number of nodes in the list is the range [0, 5000].
- -5000 <= Node.val <= 5000
Follow up: A linked list can be reversed either iteratively or recursively. Could you implement both?
https://leetcode.com/problems/reverse-linked-list/
Reverse Linked List - LeetCode
Level up your coding skills and quickly land a job. This is the best place to expand your knowledge and get prepared for your next interview.
leetcode.com
단방향 연결리스트의 방향을 뒤집는 문제이다.
재귀, 비재귀 버전으로 각각 풀어야 했다.
재귀버전
/** * Definition for singly-linked list. * public class ListNode { * public var val: Int * public var next: ListNode? * public init() { self.val = 0; self.next = nil; } * public init(_ val: Int) { self.val = val; self.next = nil; } * public init(_ val: Int, _ next: ListNode?) { self.val = val; self.next = next; } * } */ class Solution { func reverseList(_ head: ListNode?) -> ListNode? { if head?.next == nil { return head } let p = reverseList(head?.next) head?.next?.next = head head?.next = nil return p } }반복문 버전
/** * Definition for singly-linked list. * public class ListNode { * public var val: Int * public var next: ListNode? * public init() { self.val = 0; self.next = nil; } * public init(_ val: Int) { self.val = val; self.next = nil; } * public init(_ val: Int, _ next: ListNode?) { self.val = val; self.next = next; } * } */ class Solution { func reverseList(_ head: ListNode?) -> ListNode? { var stack = [ListNode]() var cur = head while cur != nil { stack.append(cur!) cur = cur!.next } let start = ListNode(0) cur = start while !stack.isEmpty { let top = stack.removeLast() top.next = nil cur!.next = top cur = top } return start.next } }반응형'개발 > 코딩테스트' 카테고리의 다른 글
[LeetCode] 234. Palindrome Linked List / Swift (0) 2021.06.26 [LeetCode] 226. Invert Binary Tree / Swift (0) 2021.06.26 [LeetCode] 141. Linked List Cycle / Swift (0) 2021.06.25 [LeetCode] 136. Single Number / Swift (0) 2021.06.24 [LeetCode] 94. Binary Tree Inorder Traversal / Swift (0) 2021.06.24