-
[LeetCode] 94. Binary Tree Inorder Traversal / Swift개발/코딩테스트 2021. 6. 24. 00:49
[문제 보기]
더보기Given the root of a binary tree, return the inorder traversal of its nodes' values.
Example 1:

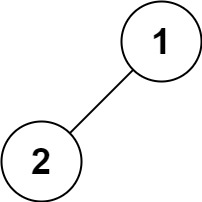
Input: root = [1,null,2,3] Output: [1,3,2]
Example 2:
Input: root = [] Output: []
Example 3:
Input: root = [1] Output: [1]
Example 4:

Input: root = [1,2] Output: [2,1]
Example 5:

Input: root = [1,null,2] Output: [1,2]
Constraints:
- The number of nodes in the tree is in the range [0, 100].
- -100 <= Node.val <= 100
Follow up: Recursive solution is trivial, could you do it iteratively?
https://leetcode.com/problems/binary-tree-inorder-traversal/
Binary Tree Inorder Traversal - LeetCode
Level up your coding skills and quickly land a job. This is the best place to expand your knowledge and get prepared for your next interview.
leetcode.com
1. 재귀로 트리 순회
2. 반복문으로 트리 순회
// 1. 재귀버전 /** * Definition for a binary tree node. * public class TreeNode { * public var val: Int * public var left: TreeNode? * public var right: TreeNode? * public init() { self.val = 0; self.left = nil; self.right = nil; } * public init(_ val: Int) { self.val = val; self.left = nil; self.right = nil; } * public init(_ val: Int, _ left: TreeNode?, _ right: TreeNode?) { * self.val = val * self.left = left * self.right = right * } * } */ class Solution { var ans = [Int]() func travel(_ node: TreeNode?) { if node == nil { return } travel(node!.left) ans.append(node!.val) // 중위순회 travel(node!.right) } func inorderTraversal(_ root: TreeNode?) -> [Int] { travel(root) return ans } }// 2. 반복문으로 이진트리 순회(중위순회) /** * Definition for a binary tree node. * public class TreeNode { * public var val: Int * public var left: TreeNode? * public var right: TreeNode? * public init() { self.val = 0; self.left = nil; self.right = nil; } * public init(_ val: Int) { self.val = val; self.left = nil; self.right = nil; } * public init(_ val: Int, _ left: TreeNode?, _ right: TreeNode?) { * self.val = val * self.left = left * self.right = right * } * } */ class Solution { func inorderTraversal(_ root: TreeNode?) -> [Int] { var ans = [Int]() var stack = [TreeNode]() var current = root while !stack.isEmpty || current != nil { while current != nil { stack.append(current!) current = current!.left } let top = stack.removeLast() ans.append(top.val) current = top.right } return ans } }반응형'개발 > 코딩테스트' 카테고리의 다른 글
[LeetCode] 141. Linked List Cycle / Swift (0) 2021.06.25 [LeetCode] 136. Single Number / Swift (0) 2021.06.24 [2020 카카오 인턴십] 보석 쇼핑 / Swift (0) 2021.06.22 [Contest 246] 1904. The Number of ... / Swift (0) 2021.06.21 [Contest 246] 1903. Largest Odd Number in String / Swift (0) 2021.06.21